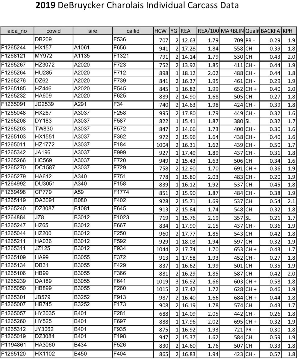
All the 2019 DeBruycker Charolais Carcass Data You’ll Need Sun 01 Mar, 2020 We bring to you all the 2019 DeBruycker Charolais carcass data you’ll need for our purebred Charolais heifers: You ‘herd’ it here first! Buy a bull! DeBruycker Charolais bulls for sale at Western Livestock Auction More: A token of our appreciation TAGS: 2019 carcass data, individual carcass data, overall carcass data, sire carcass data